食品廠污水流量計
點擊次數:2647 發布時間:2020-12-24 07:24:02
食品廠污水流量計概述

食品廠污水流量計特點
1、管道內無可動部件,無阻流部件,測量中幾乎沒有附加壓力損失。
2、測量結果與流速分布、流體壓力、溫度、密度、粘度等物理參數無關。
3、在現場可根據用戶實際需要在線修改量程。
4、高清晰度背光LCD顯示,全中文菜單操作,使用方便,操作簡單,易學易懂。
5、采用SMD器件和表面貼裝(SMT),電路可靠性高。
6、采用16位嵌入式微處理器,運算速度快,精度高,可編程頻率低頻矩形波勵磁,提高了流量測量的穩定性,功耗低。
7、全數字量處理,抗干擾能力強,測量可靠,精度高,流量測量范圍可達150:1。
8、超低EMI開關電源,使用電源電壓變化范圍大,抗EMC好
9、內部具有三個積算器,可分別顯示正向累計量、反向累計量及差值積算量,內部設有不掉電時鐘,可記錄16次掉電時間(選配)。
10、具有RS485、RS232、Hart和Modbus等數字通訊信號輸出(選配)。
11、具有自檢與自論斷功能。
12、紅外手持操作器,115KHZ通訊速率,遠距離非接觸操作轉換器所有功能(選配)。
13、小時總量記錄功能,以小時為單位記錄流量總量,適用于分時計量制(選配)。

食品廠污水流量計選型
正確地選用電磁流量計是保證用好電磁流量計的前提條件。選用什么種類的電磁流量計應根據被測流體介質的物理性質和化學性質來決定,使電磁流量計的通徑、流量范圍、襯里材料、電極材料和輸出電流等,都能適應被測流體的性質和流量的要求。

食品廠污水流量計電極、接地環材料的選擇
應根據被測流體的腐蝕性來選擇電極的材料,請查有關腐蝕手冊,對于特殊流體應作試驗。

食品廠污水流量計襯里材料選擇說明
應根據被測介質的腐蝕性、磨損性和溫度來選擇內襯材料。

食品廠污水流量計工作原理
傳感器是根據法拉*電磁感應定律工作的,如工作原理圖所示:

當導電液體沿測量管在交變磁場與磁力線成垂直方向運動時,導電液體切割磁力線產生感應電勢。在與測量管軸線和磁力線相互垂直的管壁上安裝了一對檢測電極,將這個感應電勢檢出。
則有:
E=BVD
式中:E—感應電勢;
B—磁感應強度;
D —電極間的距離,與測量管內徑相等;
V —測量管內被測流體的平均流速。
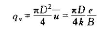
式(1)中磁場B是恒定不變的,D為一常數,則感應電動勢E與被測流體的平均流速V成正比。通過測量管橫截面上的瞬時體積流量Q與流速V之間的關系為:

食品廠污水流量計優點
(1)電磁流量計可用來測量工業導電液體或漿液。
(2)無壓力損失。
(3)測量范圍大,電磁流量變送器的口徑從2.5mm到2.6m。
(4)電磁流量計測量被測流體工作狀態下的體積流量,測量原理中不涉及流體的溫度、壓力、密度和粘度的影響。
電磁流量計缺點
(1)電磁流量計的應用有一定局限性,它只能測量導電介質的液體流量,不能測量非導電介質的流量,例如氣體和水處理較好的供熱用水。另外在高溫條件下其襯里需考慮。
(2)電磁流量計是通過測量導電液體的速度確定工作狀態下的體積流量。按照計量要求,對于液態介質,應測量質量流量,測量介質流量應涉及到流體的密度,不同流體介質具有不同的密度,而且隨溫度變化。如果電磁流量計轉換器不考慮流體密度,僅給出常溫狀態下的體積流量是不合適的。
(3)電磁流量計的安裝與調試比其它流量計復雜,且要求更嚴格。變送器和轉換器必須配套使用,兩者之間不能用兩種不同型號的儀表配用。在安裝變送器時,從安裝地點的選擇到具體的安裝調試,必須嚴格按照產品說明書要求進行。安裝地點不能有振動,不能有強磁場。在安裝時必須使變送器和管道有良好的接觸及良好的接地。變送器的電位與被測流體等電位。在使用時,必須排盡測量管中存留的氣體,否則會造成較大的測量誤差。
(4)電磁流量計用來測量帶有污垢的粘性液體時,粘性物或沉淀物附著在測量管內壁或電極上,使變送器輸出電勢變化,帶來測量誤差,電極上污垢物達到一定厚度,可能導致儀表無法測量。
(5)供水管道結垢或磨損改變內徑尺寸,將影響原定的流量值,造成測量誤差。如100mm口徑儀表內徑變化1mm會帶來約2%附加誤差。
(6)變送器的測量信號為很小的毫伏級電勢信號,除流量信號外,還夾雜一些與流量無關的信號,如同相電壓、正交電壓及共模電壓等。為了準確測量流量,必須消除各種干擾信號,有效放大流量信號。應該提高流量轉換器的性能,*好采用微處理機型的轉換器,用它來控制勵磁電壓,按被測流體性質選擇勵磁方式和頻率,可以排除同相干擾和正交干擾。但改進的儀表結構復雜,成本較高。

淺析養殖場智能污水流量計的應用及如何組建運程監控系統
電容傳感器的皮革廠污水流量計測量
皮革廠污水流量計未滿管電磁流量如何測量
智能皮革廠污水流量計的結構特點與工作原理
凱銘皮革廠污水專用流量計生產廠家
皮革廠污水流量計的優缺點有哪些方面
電廠污水流量計在水質綜合參數在線監測中的應用
制革廠污水流量計的種類選型及檢測方法
在污水流量測量中幾種工廠污水流量計的綜合比較
養殖場污水流量計,地下水污水流量計
電廠污水流量計,污水流量測量用什么流量計
工廠污水流量計,耐腐蝕污水流量計
皮革廠污水流量計如何測量實驗室條件下質量流量的方法
食品廠污水流量計,防堵污水流量計
養殖場污水流量計,分體式污水流量計
電廠污水流量計,dn400污水流量計
流量測量中優先考慮使用冶金污水流量計的十個原因
電廠污水流量計
食品廠污水流量計
養殖場污水流量計
紡織廠污水流量計調試期與運行期常見故障的分析處理
養殖場污水流量計,dn350污水流量計廠家
關于電廠污水處理流量計在制氧機組供水系統中的案例分析
皮革廠污水電磁流量計的原理特點及安裝注意事項
電廠污水流量計,化工廠污水流量計
養殖場污水流量計,電廠污水流量計
養殖場污水流量計,防堵污水流量計
食品廠污水流量計,一體式污水流量計
處理電廠污水處理專用流量計現場故障的措施與標準步驟
養殖場污水流量計與管道連接有哪幾種方式
電磁流量計系列電磁流量計是一種根據法拉*電磁感應定律來測量館內導電介質體積流量的感應式儀表,采用單片機嵌入式技術,實現數字勵磁,同時在電磁流量計上采用CAN現場總裁,技術達到國內**水平。電磁流量計在滿足現場顯示的同時,還可以輸出4-20mA電流信號供記錄、調節和控制用,現已廣泛地應用于化工、環保、冶金、醫藥、造紙、給排水等工業技術和管理部門。
KM-LDE系列電磁流量計除可測量一般導電液體的流量外,還可測量液固兩相流,高粘度液流及鹽類、強酸、強堿液體的體積流量。

食品廠污水流量計特點
1、管道內無可動部件,無阻流部件,測量中幾乎沒有附加壓力損失。
2、測量結果與流速分布、流體壓力、溫度、密度、粘度等物理參數無關。
3、在現場可根據用戶實際需要在線修改量程。
4、高清晰度背光LCD顯示,全中文菜單操作,使用方便,操作簡單,易學易懂。
5、采用SMD器件和表面貼裝(SMT),電路可靠性高。
6、采用16位嵌入式微處理器,運算速度快,精度高,可編程頻率低頻矩形波勵磁,提高了流量測量的穩定性,功耗低。
7、全數字量處理,抗干擾能力強,測量可靠,精度高,流量測量范圍可達150:1。
8、超低EMI開關電源,使用電源電壓變化范圍大,抗EMC好
9、內部具有三個積算器,可分別顯示正向累計量、反向累計量及差值積算量,內部設有不掉電時鐘,可記錄16次掉電時間(選配)。
10、具有RS485、RS232、Hart和Modbus等數字通訊信號輸出(選配)。
11、具有自檢與自論斷功能。
12、紅外手持操作器,115KHZ通訊速率,遠距離非接觸操作轉換器所有功能(選配)。
13、小時總量記錄功能,以小時為單位記錄流量總量,適用于分時計量制(選配)。

食品廠污水流量計選型
正確地選用電磁流量計是保證用好電磁流量計的前提條件。選用什么種類的電磁流量計應根據被測流體介質的物理性質和化學性質來決定,使電磁流量計的通徑、流量范圍、襯里材料、電極材料和輸出電流等,都能適應被測流體的性質和流量的要求。

食品廠污水流量計電極、接地環材料的選擇
應根據被測流體的腐蝕性來選擇電極的材料,請查有關腐蝕手冊,對于特殊流體應作試驗。

食品廠污水流量計襯里材料選擇說明
應根據被測介質的腐蝕性、磨損性和溫度來選擇內襯材料。

食品廠污水流量計工作原理
傳感器是根據法拉*電磁感應定律工作的,如工作原理圖所示:

當導電液體沿測量管在交變磁場與磁力線成垂直方向運動時,導電液體切割磁力線產生感應電勢。在與測量管軸線和磁力線相互垂直的管壁上安裝了一對檢測電極,將這個感應電勢檢出。
則有:
E=BVD
式中:E—感應電勢;
B—磁感應強度;
D —電極間的距離,與測量管內徑相等;
V —測量管內被測流體的平均流速。
式(1)中磁場B是恒定不變的,D為一常數,則感應電動勢E與被測流體的平均流速V成正比。通過測量管橫截面上的瞬時體積流量Q與流速V之間的關系為:

食品廠污水流量計優點
(1)電磁流量計可用來測量工業導電液體或漿液。
(2)無壓力損失。
(3)測量范圍大,電磁流量變送器的口徑從2.5mm到2.6m。
(4)電磁流量計測量被測流體工作狀態下的體積流量,測量原理中不涉及流體的溫度、壓力、密度和粘度的影響。
電磁流量計缺點
(1)電磁流量計的應用有一定局限性,它只能測量導電介質的液體流量,不能測量非導電介質的流量,例如氣體和水處理較好的供熱用水。另外在高溫條件下其襯里需考慮。
(2)電磁流量計是通過測量導電液體的速度確定工作狀態下的體積流量。按照計量要求,對于液態介質,應測量質量流量,測量介質流量應涉及到流體的密度,不同流體介質具有不同的密度,而且隨溫度變化。如果電磁流量計轉換器不考慮流體密度,僅給出常溫狀態下的體積流量是不合適的。
(3)電磁流量計的安裝與調試比其它流量計復雜,且要求更嚴格。變送器和轉換器必須配套使用,兩者之間不能用兩種不同型號的儀表配用。在安裝變送器時,從安裝地點的選擇到具體的安裝調試,必須嚴格按照產品說明書要求進行。安裝地點不能有振動,不能有強磁場。在安裝時必須使變送器和管道有良好的接觸及良好的接地。變送器的電位與被測流體等電位。在使用時,必須排盡測量管中存留的氣體,否則會造成較大的測量誤差。
(4)電磁流量計用來測量帶有污垢的粘性液體時,粘性物或沉淀物附著在測量管內壁或電極上,使變送器輸出電勢變化,帶來測量誤差,電極上污垢物達到一定厚度,可能導致儀表無法測量。
(5)供水管道結垢或磨損改變內徑尺寸,將影響原定的流量值,造成測量誤差。如100mm口徑儀表內徑變化1mm會帶來約2%附加誤差。
(6)變送器的測量信號為很小的毫伏級電勢信號,除流量信號外,還夾雜一些與流量無關的信號,如同相電壓、正交電壓及共模電壓等。為了準確測量流量,必須消除各種干擾信號,有效放大流量信號。應該提高流量轉換器的性能,*好采用微處理機型的轉換器,用它來控制勵磁電壓,按被測流體性質選擇勵磁方式和頻率,可以排除同相干擾和正交干擾。但改進的儀表結構復雜,成本較高。

下一篇:防堵污水流量計


